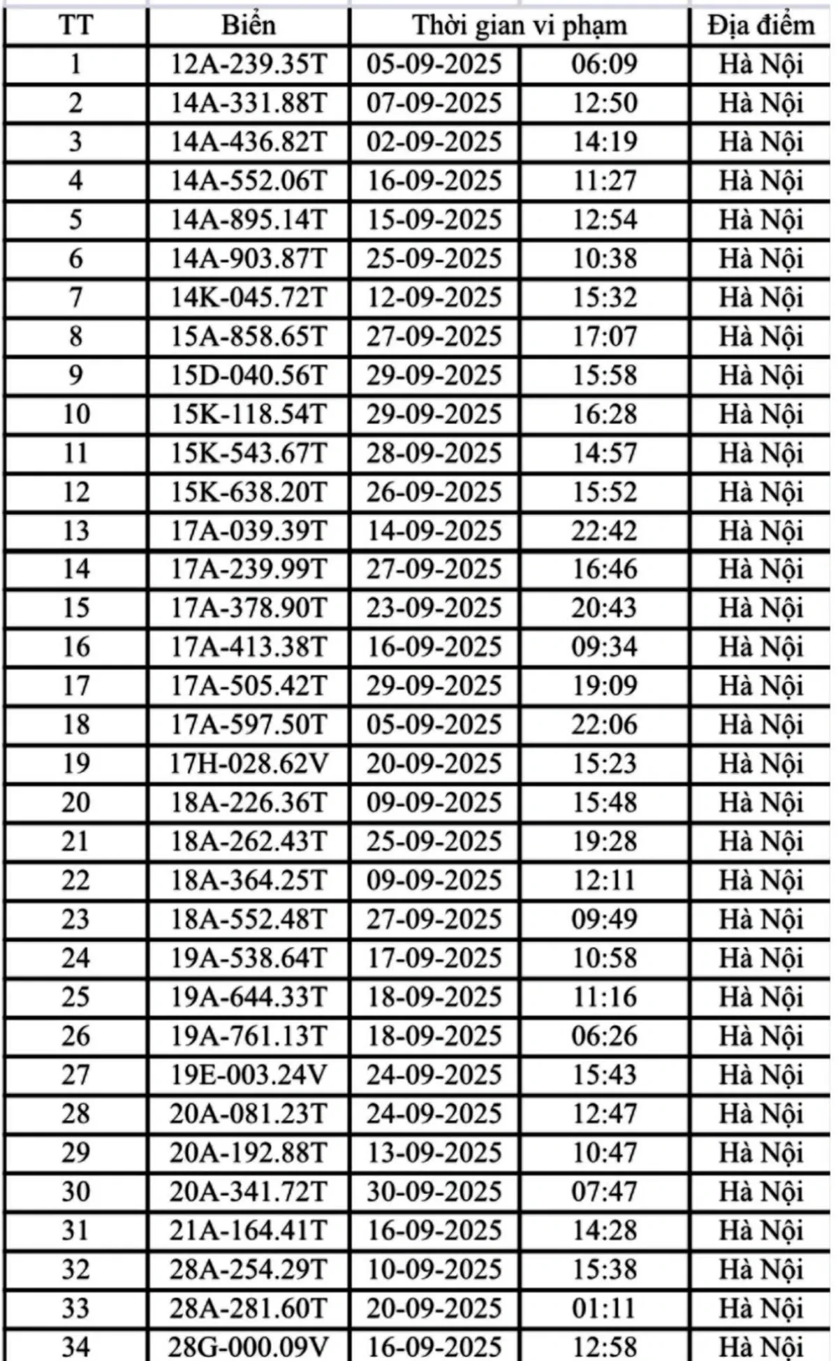
Trong tháng 9/2025 (từ ngày 1 đến 30/9), thông qua hệ thống camera giám sát giao thông, Phòng CSGT , Công an TP Hà Nội đã phát hiện, ghi hình 221 trường hợp phương tiện vi phạm, gồm cả ô tô và mô tô.
Theo đó, chủ phương tiện, người điều khiển phương tiện có thể tra cứu thông tin "phạt nguội" trên trang thông tin điện tử của Cục Cảnh sát giao thông – Bộ Công an tại địa chỉ www.csgt.vn, hoặc liên hệ trực tiếp Đội Chỉ huy giao thông và điều khiển đèn tín hiệu giao thông (Phòng CSGT – CATP Hà Nội) tại số 54 Trần Hưng Đạo, phường Cửa Nam, TP Hà Nội, điện thoại: 0692.196.440 để được hướng dẫn, giải quyết.
Đối với người dân cư trú trên địa bàn Hà Nội có thể đến 14 địa điểm tiếp nhận, giải quyết kết quả thu thập được bằng phương tiện, thiết bị nghiệp vụ (phạt nguội) của Phòng Cảnh sát giao thông để giải quyết vụ việc vi phạm hành chính.
Danh sách xe ô tô vi phạm trong tháng 9 gồm:






Danh sách 21 xe máy vi phạm trong tháng 9 gồm:

Bình luận (0)